树状数组BIT
现多用于计算前缀和,区间和,可在O(logN)时间内得到任意前缀和 。并且支持在O(logN)时间内动态单点修改
```c C1=A1 C2=A1+A2 C3=A3 C4=A1+A2+A3+A4 C5=A5 C6=A5+A6 C7=A7 C8=A1+A2+A3+A4+A5+A6+A7+A8
1
2
3
4
5
6
7
8
9
10
11
12
13
14
|
其中 `C[i] = A[i - 2k+1] + A[i - 2k+2] + ... + A[i]; //k为i的二进制中从最低位到高位连续零的长度`
例如`i = 8(1000)时候,k = 3`,可自行验证。
## 应用
针对一个数组A,有A0到An个元素,经过W次修改,每次修改一个元素的值,如何快速求其中任意区间内的和问题?
### 如何求和?

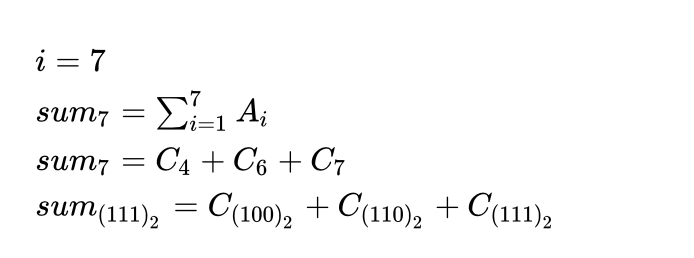
以7为例,sum求和0-7的计算方法,C的下标数值如何确定,即7开始不断的取lowbit(具体实现见代码lbt)
## 实现
|
go package main
import “fmt”
type Bit struct {
} // 该函数也可写成 x&(-x) //函数意义:求x中从最低位开始剔除一个1的数值,例如6(110),剔除最低位1转为4(100)需要减2(10),即lbt(6)=2 func (b *Bit) lbt(x int) int {
1
|
return x - (x & (x - 1))
|
}
func (b *Bit) Update(x int, v int) {
1
2
3
|
for i := x+1; i < len(b.BitTree); i += b.lbt(i) {
b.BitTree[i] += v
}
|
}
func (b *Bit) GetSum(x int) int {
1
2
3
4
5
|
sum := 0
for i := x+1; i > 0; i -= b.lbt(i) {
sum += b.BitTree[i]
}
return sum
|
}
func Init(a []int) Bit {
1
2
3
4
5
|
b := Bit{BitTree: make([]int, len(a)+1)}
for i := 0; i < len(a); i++ {
b.Update(i, a[i])
}
return b
|
}
func main(){
1
2
3
|
a := []int{1,1,1,1}
b := Init(a)
fmt.Println(b)
|
} ```
参考